https://www.acmicpc.net/problem/7569
아이디어:
1.3차원 BFS
7576번 토마토의 3차원 문제
2. tuple<int, int, int> 사용
삽입 Q.push({ nx, ny, nz});
cur 선언 tuple<int, int, int> cur = Q.front();
확인 get<0>(cur) = cur의 1번째 값, get<1>(cur) = cur의 2번째 값, get<2>(cur) = cur의 3번째 값
대입 ans = vis[get<0>(cur)][get<1>(cur)][get<2>(cur)];
배열 인덱스와 N, M, H의 순서에 주의
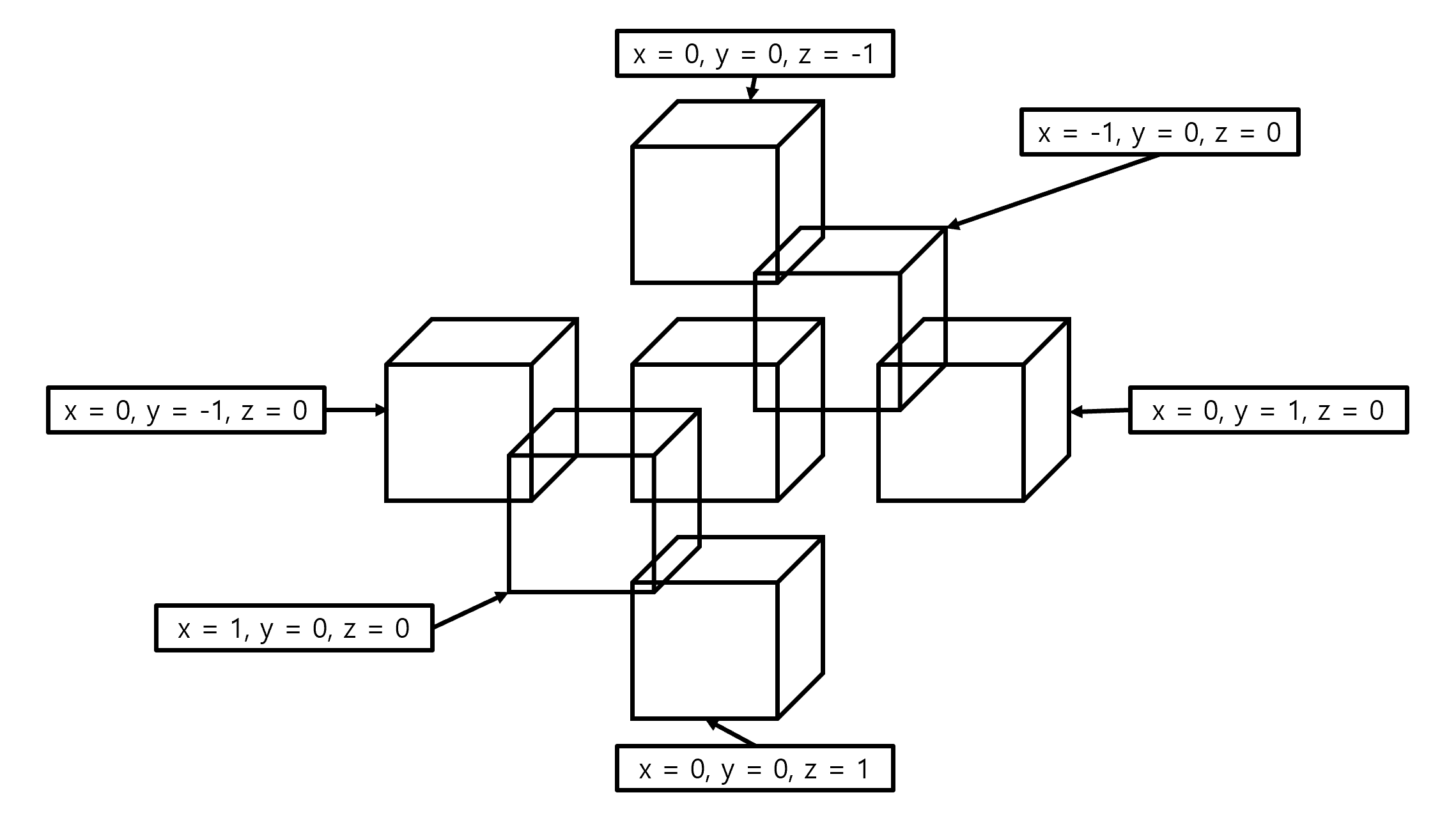
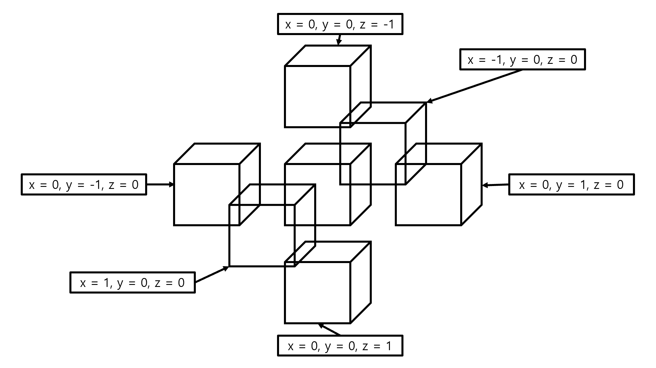
3. 방향 dx, dy에 이어 int dz[6] = { 0, 0, 0, 0, 1, -1}; 추가

가운데 익은 토마토를 기준으로 x, y, z 방향 처리
4. 배열 인덱스 board[][][], vis[][][]와 N, M, H의 순서에 주의
입력이 5 3 2일 경우 배열 크기는 board[2][3][5]
범위 안의 BFS인지 확인할 때도 if (nx < 0 || nx >= h || ny < 0 || ny >= n || nz < 0 || nz >= m) continue;
h는 z의 범위를 말하는 값인데 헷갈리게 작성했다.
#include <iostream>
#include <bits/stdc++.h>
using namespace std;
int board[101][101][101];
int vis[101][101][101];
int n, m, h;
int dx[6] = { 1, 0, -1, 0, 0, 0 };
int dy[6] = { 0, 1, 0, -1, 0, 0 };
int dz[6] = { 0, 0, 0, 0, 1, -1};
int main() {
ios::sync_with_stdio(0);
cin.tie(0);
cout.tie(0);
for (int i = 0; i < 101; i++) {
for (int j = 0; j < 101; j++) {
fill(board[i][j], board[i][j] + 101, -1);
}
}
int ans = 0;
queue<tuple<int, int, int>> Q;
cin >> m >> n >> h;
for (int i = 0; i < h; i++) {
for (int j = 0; j < n; j++) {
for (int k = 0; k < m; k++) {
cin >> board[i][j][k];
}
}
}
for (int i = 0; i < h; i++) {
for (int j = 0; j < n; j++) {
for (int k = 0; k < m; k++) {
if (board[i][j][k] == 1) {
vis[i][j][k] = 0;
Q.push({ i, j, k });
}
}
}
}
while (!Q.empty()) {
tuple<int, int, int> cur = Q.front();
Q.pop();
ans = vis[get<0>(cur)][get<1>(cur)][get<2>(cur)];
for (int dir = 0; dir < 6; dir++) {
int nx = get<0>(cur) + dx[dir];
int ny = get<1>(cur) + dy[dir];
int nz = get<2>(cur) + dz[dir];
if (nx < 0 || nx >= h || ny < 0 || ny >= n || nz < 0 || nz >= m) continue;
if (board[nx][ny][nz] != 0 || vis[nx][ny][nz] > 0) continue;
board[nx][ny][nz] = 1;
vis[nx][ny][nz] = vis[get<0>(cur)][get<1>(cur)][get<2>(cur)] + 1;
Q.push({ nx, ny, nz });
}
}
for (int i = 0; i < h; i++) {
for (int j = 0; j < n; j++) {
for (int k = 0; k < m; k++) {
if (board[i][j][k] == 0) {
cout << -1;
return 0;
}
}
}
}
cout << ans;
return 0;
}'algorithm' 카테고리의 다른 글
| 백준 5427번 불 (0) | 2025.04.12 |
|---|---|
| 백준 7562번 나이트의 이동 (0) | 2025.04.12 |
| 백준 10026번 적록색약 (0) | 2025.04.11 |
| 백준 1012번 유기농 배추 (0) | 2025.04.11 |
| 백준 1697번 숨바꼭질 (0) | 2025.04.11 |